
vs 확률(Probability)
기억해 두자.
셀 수 있는 사건 : 확률 = 가능도
셀 수 없는 사건 中 특정 사건이 일어날 확률 = 0
셀 수 없는 사건 : PDF값 = 가능도
진실을 찾는 방법 : 최대가능도 추정량(Maximum Likelihood Estimator, MLE)
Intro
이산사건의 확률
연속사건의 확률
가능도(Likelihood) : 연속사건 中 특정 사건이 일어날 가능성
사건이 여러번 일어날 경우의 가능도
최대가능도 추정량(Maximum Likelihood Estimator, MLE) : 모양이 일그러진 동전
최대가능도 추정량(Maximum Likelihood Estimator, MLE) : 나의 실제 키
Conclusion



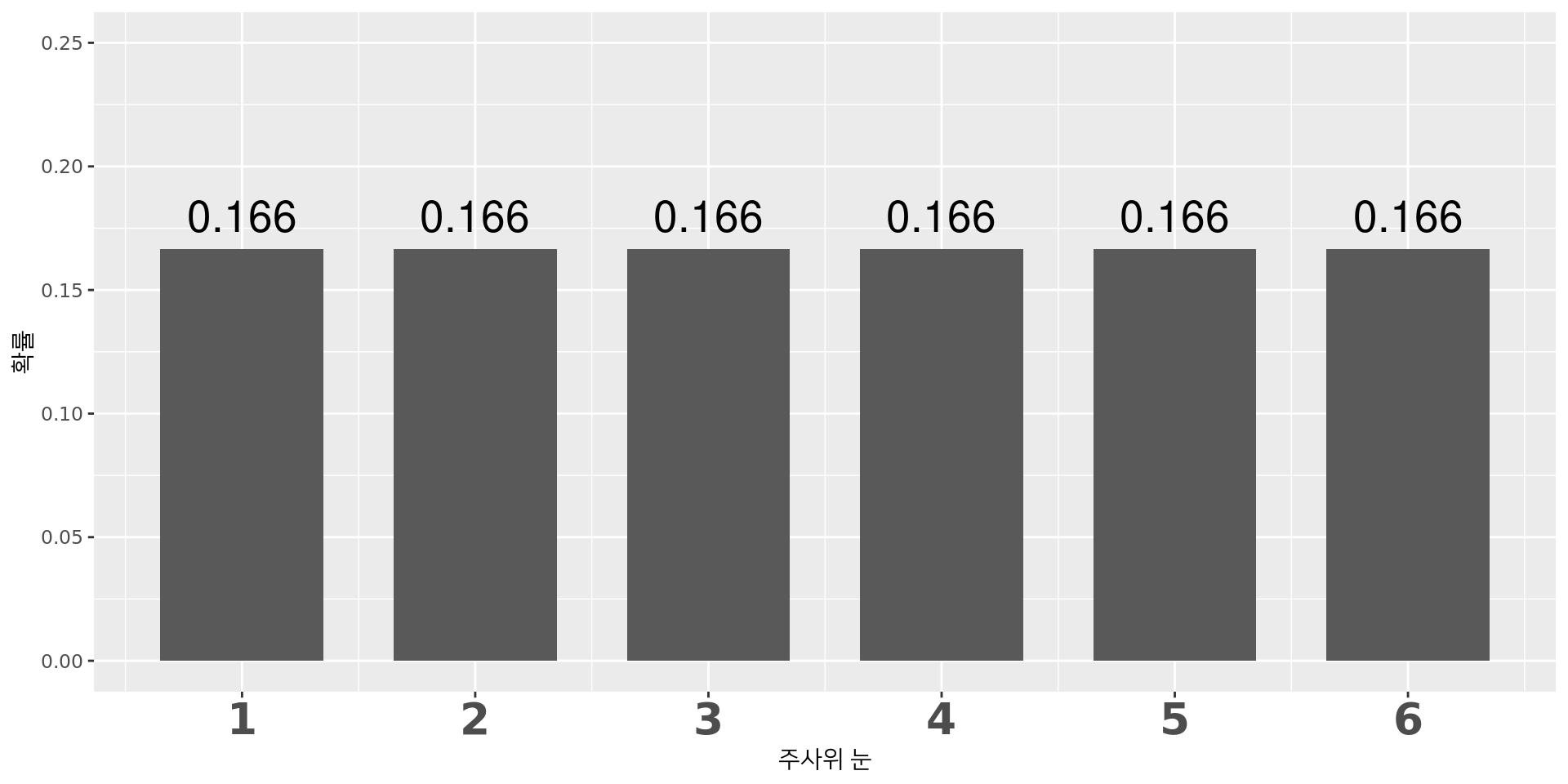
1 ~ 6의 숫자 뽑기
표준정규분포 PDF
표준정규분포의 PDF
PDF값을 가능도로 정의.


주사위 3번 던져 1,3,6이 나올 확률 = \(\frac{1}{6}\times\frac{1}{6}\times\frac{1}{6}=\frac{1}{216}\)
동전 10번 던져서 앞면 갯수 세기 를 3회 시행하여 앞면이 2,5,7번 나올 확률
=> 0.044 \(\times\) 0.246 \(\times\) 0.117\(=\) 0.001
이산사건 확률 = 가능도 이므로 각 예시의 가능도도 \(\frac{1}{216}\)과 0.001
표준정규분포에서 3번 뽑을때 -1, 0, 1이 나올 확률과 가능도는?
확률 : 각 사건이 일어날 확률은 모두 0이므로 0
가능도 : 각 사건의 가능도가 0.24, 0.4, 0.24이므로 0.24 \(\times\) 0.4 \(\times\) 0.24 \(=\) 0.02
연속사건에서 가능도와 확률은 다르다
동전 앞면이 나올 확률 \(p\)에 따른 가능도 \(L\)
5번 측정결과 178, 179, 180, 181, 182(cm) 일때 실제 키는 평균값?
가정: 키측정은 정규분포를 따른다(평균 \(\mu\), 분산 \(\sigma^2\))
측정값 \(x\)에 해당하는 가능도 = \(\frac{1}{\sqrt{2\pi}\sigma}e^{-\frac{(x-\mu)^2}{2\sigma^2}}\)
위 5번 측정결과가 나타날 가능성 \(L\) \(=\frac{1}{\sqrt{2\pi}\sigma^2}e^{-\frac{(178-\mu)^2}{2\sigma^2}}\times\frac{1}{\sqrt{2\pi}\sigma^2}e^{-\frac{(179-\mu)^2}{2\sigma^2}}\times\frac{1}{\sqrt{2\pi}\sigma^2}e^{-\frac{(180-\mu)^2}{2\sigma^2}}\times\frac{1}{\sqrt{2\pi}\sigma^2}e^{-\frac{(181-\mu)^2}{2\sigma^2}}\times\frac{1}{\sqrt{2\pi}\sigma^2}e^{-\frac{(182-\mu)^2}{2\sigma^2}}\)
\(L\)이 최대이려면 \((178-\mu)^2+(179-\mu)^2+(180-\mu)^2+(181-\mu)^2+(182-\mu)^2\)이 최소여야 함. \(\mu=180\)일 때 최소.
실제 키에 따른 가능도 \(L\)
셀 수 있는 사건 : 확률 = 가능도
셀 수 없는 사건 中 특정 사건이 일어날 확률 = 0
셀 수 없는 사건 : PDF값 = 가능도
진실을 찾는 방법 : 최대가능도 추정량(Maximum Likelihood Estimator, MLE)

www.zarathu.com